公众号
“医学论文与统计分析”公众号
扫码关注公众号

统计咨询
“公共数据库与孟德尔随机化”公众号
扫码关注公众号

意见反馈
邮箱:17357190071@163.com
微信:aq566665

赞!清华学者用CLHLS公共数据发了Nature子刊,方法也比较简单

Administrator
发布于 2025-09-19 / 12 阅读
0
0

热浪,通常被定义为为时超过两天的非正常极热天气,其实就是连续高温。近年来,受全球变暖的影响,各地极端热浪天气频发,严重影响了我们的日常生活。事实上,过去四十年间,死于极端高温的人数增加了4倍,尤其是65岁以上的老人。

更可怕的是,随着人口老龄化的发展,预估老年人中因高温死亡的人数将会出现惊人的增长。有研究显示,预估到2090年代,75岁及以上的人群的死亡人数将会增加973,986人。

虽然有不少研究针对如何降低热浪死亡率提出来了建议,但先前的研究大多在当地进行,且样本量相对有限不适用于大范围推行。因此,探究功能老龄化相关的因素与老龄化人口的热浪死亡率之间的关系,有助于我们针对气候变化产生健康风险时制定策略,也有助于我们了解与功能老化相关的因素如何影响对热浪的脆弱性。

2024年3月,清华大学的研究者在《Nature Medicine》(医学一区top,IF=82.9)刊登了一篇题为:“Risk factors associated with heatwave mortality in Chinese adults over 65 years”的研究论文,探究65岁以上的老年人热浪死亡率相关的危险因素。

研究结果表明,除年龄因素外,功能性老化例如活动能力功能下降、日常生活活动依赖、认知障碍和社会隔离期间没有人寻求帮助的个体,热浪死亡风险增加。评估功能下降和实施护理策略对于有针对性地预防热浪期间的死亡至关重要。

主要研究结果

1、研究设计

该研究共纳入了中国健康长寿纵向调查(CLHLS)数据库符合条件的13,527名参与者,平均年龄87.1岁,大多数参与者(63.6%)是农村居民,且该队列以女性为主(57.4%)。

大多数参与者(73.0%)的年龄在80岁或以上,包括:

  • 3542名80岁老人(26.2%)

  • 3708名90岁老人(27.4%)

  • 2627名百岁老人(19.4%)

该研究使用活动日常生活能力(ADL)日常生活自理能力评估(IADL)量表来评估身体功能独立性。

认知功能评估采用小型精神状态检查(MMSE),该检查测量了五个认知维度:

  • 定向(53.3%表现更好);

  • 注册(68.6%表现更好);

  • 注意力和计算(62.2%表现更好);

  • 回忆(58.2%表现更好);

  • 语言(56.4%表现更好)。

69.9%的受试者的整体认知功能正常。

在研究结束时,共有1806名参与者失访(但在他们失访之前贡献了人力时间),在夏季(5月至9月)有3249人死亡,而6131例死亡发生在夏季以外。

2、热浪期间,身体功能能力下降与死亡率增加显著相关 

在热浪期间, 通过ADL和IADL量表评估显示,身体功能能力下降与死亡率增加之间的关联存在效应变化

  • 事实上,特定残疾增加了热浪死亡率,如卧床不起(HR=3.20,95%CI=2.11–4.85),无法连续行走1公里(人力资源=2.09,95%CI=1.79–2.45),难以访问邻居(HR=2.39,95%CI=1.93–2.96)和难以乘坐公共交通(HR=1.94,95%CI=1.67–2.24)。

  • 此外,难以保持个人卫生的参与者,包括洗澡(HR=2.31,95%CI=1.81–2.95)和敷衣(HR=2.66,95%CI=1.92–3.69),更容易发生热浪相关死亡。

  • 那些完全失去排尿和排便控制的患者(HR=4.33,95%CI=1.53–12.25),以及那些在排便后无法清洁自己的患者(HR=2.89,95%CI=1.85–4.50)也显示出风险的显著增加。

  • 不能独立做饭的个体(HR=2.07,95%CI=1.74–2.45)或携带5公斤体重的个体(HR=1.98,95%CI=1.68–2.33)与热浪死亡率风险增加相关。

3、热浪死亡率与认知功能评分之间相互作用 

研究结果表明,死亡风险升高与整体MMSE整体表现得分较低相关,具体表现为认知能力下降,这与热浪日较高的死亡风险相关。

  • 认知能力好的较差的,在热浪期间表现出较强的弹性,即死亡风险较高(表现较好的HR=1.75,95%CI=1.52-1.93,表现较差的HR=2.20,95%CI=1.94-2.50))。

4、社会因素和自我评价的心理健康作为降低热浪死亡效应的调节因素

虽然研究团队并没有发现自我评估的心理健康,包括生活满意度或自我评估的健康,与热浪死亡率的关联;但是,低乐观情绪却与较高的热浪死亡风险有关

  • 与遥远的社会关系互动的人(HR = 2.11,95%CI = 1.17–3.84)相比,亲密关系(如家庭)互动的参与者的热浪死亡风险降低(HR = 1.88,95%CI = 1.49–2.37)。

  • 此外,那些没有与之交谈的人(HR=4.12,95%CI=2.25–7.55)、共享想法(HR=4.55,95%CI=2.48–8.37)或在困难期间寻求帮助的人(HR=8.42,95%CI=1.99–35.71)的死亡风险显著增加。

  • 但是,与家庭成员一起生活的老年人(HR=1.85,95%CI=1.67–2.05)和独居者(HR=1.81,95%CI=1.41–2.34)之间的热浪脆弱性没有差异。

  • 同样,与配偶生活在一起的已婚老年人(HR=1.77,95%CI=1.44–2.16)与目前未结婚的老年人(HR=1.86,95%CI=1.68–2.07)之间的热浪脆弱性没有显著差异。

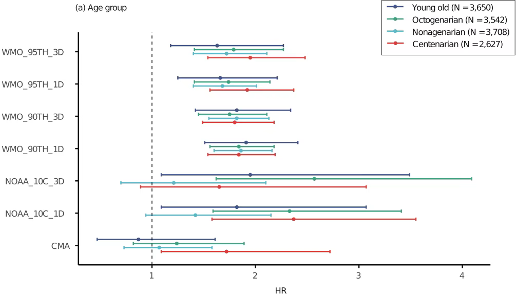
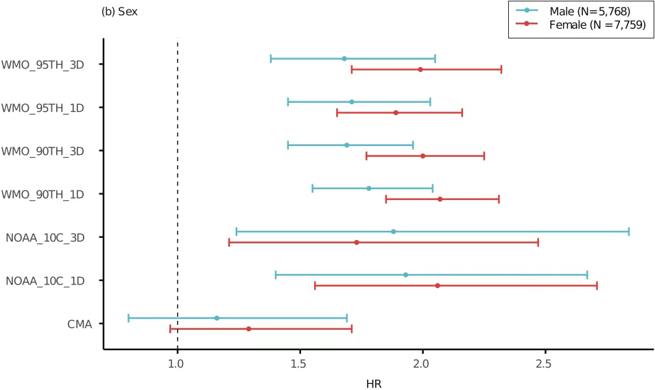
5、热浪相关死亡率的影响有性别特异性,女性受影响更多

研究团队发现在老年人群中,年龄和热浪死亡率增加并不相关。但是热浪相关的死亡风险却存在性别特异性,尤其与男性相比,女性的热浪死亡风险更高。

  • 根据IADL状态进行分层显示,严重日常生活自理能力(IADL)损伤的女性易感性明显增加(严重IADL损伤患者的HR=2.27,95%CI=1.89-2.73;中度IADL损伤患者的HR=1.38,95%CI=1.07-1.77)。相比之下,IADL在男性中没有观察到IADL效应的改变。

研究团队认为,这可能与女性群体平均年龄更大(女性89.3岁与男性84.2岁),有更高的配偶损失(女性82.4%,男性50.9%),较低的受教育水平(女性83.4%女性和男性文盲37.2%)和较差的认知功能(49.0%女性正常认知功能和男性77.6%)有关。

设计与统计学方法

一、研究设计

P(Population)参与者:中国健康长寿纵向调查(CLHLS)数据库65岁以上的13,527名参与者,

E(exposure)暴露:热浪

O(outcome)结局:老年人死亡率

S(Study design)研究类型纵向队列研究

二、统计方法

1.Cox比例风险模型 使用了时间依赖的Cox比例风险模型,考虑了随时间随环境协变量变化的动态性质。

2.分层分析为了揭示热浪脆弱性的潜在变化,针对最脆弱的群体,根据与功能老化相关的危险因素进行了综合分层分析。

3.敏感性分析进行了一系列的敏感性分析,以确保研究结果的稳定性和可靠性。

4.四向相关性分析:构建立相关系数和构建相关矩阵。这个过程旨在揭示隐藏的、潜在的变量和观察到的二分变量之间的关系。


评论

收银台

订单信息

应付金额 积分

模块介绍

请加我们助教二维码或加入Zstats使用群
Zstats交流群

Zstats交流群

助教二维码

联系助教

选择支付方式

请输入助教告诉您的积分券

如果不填写积分券,将直接使用当前余额支付

正在创建订单...

请稍候,正在为您生成支付订单

支付二维码

请使用扫描二维码完成支付

等待支付中...

二维码获取失败

支付二维码获取失败,请点击重新获取

正在处理余额支付...

请稍候,正在为您完成支付

正在处理充值并支付...

正在使用积分券兑换,然后完成支付 正在使用当前余额完成支付

支付成功!

您的订单已支付完成,页面将在 秒后自动关闭

支付失败

支付过程中出现错误,请重新选择支付方式

平台说明