01 NHANES前沿指标聚焦
近年来,一个旨在同步优化人类健康与地球环境的膳食评估工具——行星健康饮食指数(PHDI),正迅速成为营养流行病学与慢性病研究领域的新焦点。
PHDI指标简介
PHDI是基于EAT–Lancet委员会提出的“行星健康饮食”框架所建立的量化指标,用于评估个体饮食模式与可持续健康饮食目标的符合程度。
该指数综合考虑了谷物、蔬菜、水果、乳制品、动物性蛋白、植物性蛋白、添加糖和脂肪等多种食物组的摄入情况,既反映了饮食对个体健康的影响,也兼顾对环境可持续性的要求。
指标判定标准:
PHDI-US由16个组成部分组成,总分可能为150分,具体组成部分和评分标准如下图:
指标数据在郑老师团队开发的NHANES Online平台现可一键提取和分析。详情可见:行星健康饮食指数 (PHDI)
02 论文解读
2025年9月5日,东南大学学者联合NHANES和UKB数据库,在期刊《Science Advances》(医学一区Top,IF=12.5)发表了一篇题为:“Planetary Health Diet and risk of mortality and chronic diseases: Results from US NHANES, UK Biobank, and a meta-analysis”的研究论文。
本研究旨在探讨坚持行星健康饮食(PHD)与全因及特定死亡率之间的关联,并评估其对减少温室气体排放的作用。
风暴统计公共数据库公众号回复“ 原文”即可获得文献PDF等资料。如需试用NHANES Online平台,欢迎添加郑老师助教vx:aq566665
研究背景
PHD是一种由EAT-Lancet委员会提出的参考饮食模式,旨在通过调整膳食减轻相关的温室气体排放及其环境影响,并促进人类健康。
既往研究未能明确该饮食模式与癌症、心血管疾病风险的关联,因此需进一步研究PHD与健康结果之间的关联。
数据来源
研究数据主要来源于两个前瞻性队列:
美国NHANES(1999-2018年),共纳入42,947名20岁及以上成年人;
英国UKB,共纳入125,372名40-69岁参与者。
此外,荟萃分析部分则通过截至2025年4月的系统文献检索与筛选,最终纳入了37项符合条件的前瞻性队列研究。
研究方法
1.队列研究:
研究基于24小时膳食回顾数据计算PHD评分,采用Cox回归模型和RCS曲线探究PHD评分与健康结局之间的关联。此外,还进行敏感性分析以验证结果稳健性。
2.荟萃分析:
研究采用随机或固定效应模型合并风险比,并使用Begg's检验和Egger's检验评估偏倚,同时进行了剂量-反应分析PHD评分与健康结局之间的关联。
主要研究结果
PHD评分与多种健康结局及环境影响之间存在显著关联。
研究结果显示,PHD评分与参与者全因死亡率之间呈显著线性负相关。具体而言,在NHANES和UKB队列中,与PHD评分最低分位组相比,最高分位组的全因死亡率分别降低23%和16%。
同时,UKB队列进一步表明,PHD评分与癌症(HR=0.84)及呼吸系统疾病死亡率(HR=0.39)降低也显著相关。
图1 Cox分析结果
模型1:调整了年龄和性别;
模型2:进一步调整了总能量摄入、种族、教育水平、吸烟、酗酒、收入水平、高血压病史和糖尿病史;
模型3:额外调整BMI
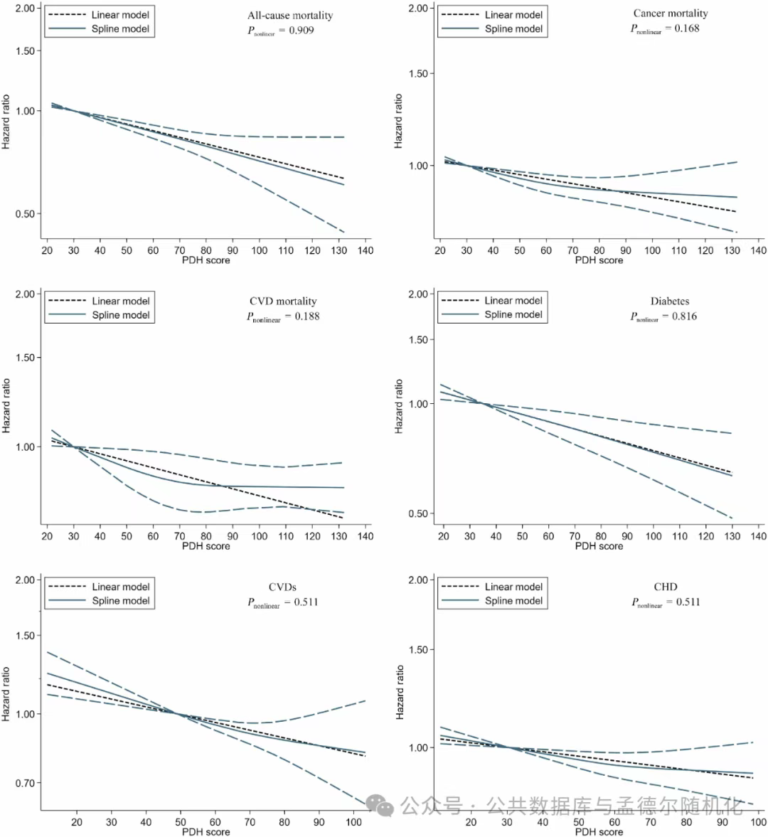
图2 RCS分析结果
其中,在PHD饮食模式中,对温室气体排放贡献量最大的食物是红肉及其制品。
图3 环境影响分析结果
荟萃分析的结果进一步佐证了上述研究,结果显示,与最低PHD评分相比,最高PHD评分参与者的全因死亡率和癌症死亡率分别下降21%和11%。
同时,还进一步发现,较高的PHD评分也与多种慢性疾病死亡率下降相关,包括结直肠癌、肺癌、心血管疾病、冠心病、糖尿病和中风等。
图4 荟萃分析结果
研究结论
基于大规模前瞻性队列和综合性荟萃分析的研究表明,坚持行星健康饮食模式与较低的全因、特定死亡率以及多种主要慢性病的发病风险显著相关。并且,研究还证实了其在减少温室气体排放方面的环境协同效益。