公众号
医学论文与统计分析公众号
扫码关注公众号

统计咨询
添加助教微信即可咨询
添加助教微信即可咨询

意见反馈
邮箱:17357190071@163.com
微信:aq566665

创新“孟德尔随机化”思路,非线性MR方法(IF=9.8)文章

Administrator
发布于 2025-10-15 / 7 阅读
0
0

2024年2月,华中科技大学公共卫生学院学者在《Metabolism-clinical and Experimental(一区,IF=9.8)发表题为"Nonlinear relationship between high-density lipoprotein cholesterol and cardiovascular disease: an observational and Mendelian randomization analysis" 的研究论文。

本研究纳入了348,636名欧洲血统的受试者,受试者的遗传数据来自英国生物样本库(UK Biobank,UKB),并从全球脂质遗传学联盟(Global Lipids Genetics Consortium, GLGC)获得了欧洲人高密度脂蛋白胆固醇(HDL-C)的全基因组关联摘要数据。在UKB进行了观察性分析,观测HDL-C与心血管疾病(CVD)之间的关系。进一步用分层 MR 分析结合了 UKB 的 CVD 和 GLGC 的脂质的遗传数据之间的关联。

结果表明,观察性分析结果显示 HDL-C 与 CVD 呈 L 型关联,当 HDL-C 水平超过 70 mg/dL 时,风险不会进一步降低;对 HDL-C 整个分布的多变量 MR 分析发现,在控制了对其他脂质的多效性作用和未测量的多效性之后,HDL-C 与 CVD 没有关联。进一步分层MR分析结果显示,低水平的HDL-C与CVD风险之间存在潜在的因果负相关,而在高水平的HDL-C中未观察到任何关联。

摘要与主要结果

一、摘要

文章题目:高密度脂蛋白胆固醇与心血管疾病之间的非线性关系:观察性和孟德尔随机化分析

研究目的:临床试验和孟德尔随机化 (MR) 研究报告了高密度脂蛋白胆固醇 (HDL-C) 对心血管疾病 (CVD) 风险的无效影响,这可能忽略了非线性因果关系。我们旨在研究观察和 MR 框架下循环 HDL-C 浓度与 CVD 之间的剂量反应关系。

方法:我们纳入了348,636名欧洲血统的受试者(52,919例CVD病例和295,717例非病例),这些受试者的遗传数据来自英国生物样本库(UK Biobank, UKB),并从全球脂质遗传学联盟(Global Lipids Genetics Consortium, GLGC)获得了欧洲人HDL-C的全基因组关联摘要数据。在UKB进行了观察性分析。分层 MR 分析结合了 UKB 的 CVD 和 GLGC 的脂质的遗传数据。

结果:观察性分析显示 HDL-C 与 CVD 呈 L 型关联,当 HDL-C 水平超过 70 mg/dL 时,风险不会进一步降低。对 HDL-C 整个分布的多变量 MR 分析发现,在控制了对其他脂质的多效性作用和未测量的多效性之后,HDL-C 与 CVD 没有关联。然而,在分层 MR 分析中,在 HDL-C ≤ 50 mg/dL 的参与者中观察到 HDL-C 与 CVD 的显着负相关(每单位增加的比值比,0.86;95% 置信区间,0.79-0.94),而在高于 50 mg/dL 的任何层中观察到无效关联。

结论:我们的数据表明,低水平的HDL-C与CVD风险之间存在潜在的因果负相关。这些发现加深了我们对高密度脂蛋白作为心血管疾病预防和治疗潜在靶点作用的认识。

二、研究结果

1.基线特征

共纳入348,636名符合条件的来自UKB的受试者,中位(IQR)年龄为58岁(51,63),161660名(46.4%)参与者为男性。

与没有CVD事件的参与者(n=295717)相比,患有CVD的参与者(n=52919)特征为老年人、男性、社会经济贫困、现在或以前吸烟、不经常饮酒、不运动,并且饮食更健康、BMI和TG水平更高、HDL-C和LDL-C水平更低,患有高血压、糖尿病,使用降脂药物以及父母有CVD病史。

2.观察性分析确定HDL-C浓度与CVD之间的关联

观察到HDL-C浓度总CVD、CHD中风风险呈L型关联(所有Ps非线性<0.001)。

  • 在相对较低的水平(HDL-C<70 mg/dL)下,经过多变量调整后,较高的HDL-C浓度与较低的CVD风险显著相关。

  • 相反,当HDL-C浓度高于70 mg/dL时,存在平台效应,没有观察到CVD风险的进一步降低。

3.非线性MR揭露HDL-C与疾病发生的关联

非线性MR结果显示,HDL-CCVD、CHD中风风险L型关联

  • 在相对较低的HDL-C水平下,随着HDL-C浓度的增加,CVD的风险似乎显著降低;

  • 而在较高的HDL-C浓度下,CVD的风险则显著降低。

3.分层MVMR分析结果与主要结果一致

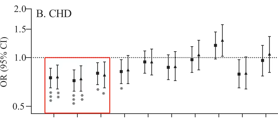
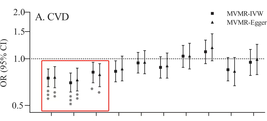
通过对LDL-C和TG的多效性效应的调整,分层多变量MR(MVMR)结果显示,在HDL-C < 50 mg/分层中HDL-CCVD(OR每单位增加0.86、95 % CI、0.79–0.94)、冠心病(OR每单位增加0.85、95 % CI、0.77–0.94)和中风(每单位增加0.85、95 % CI、0.75–0.96)呈显著负相关。相比之下,在任何其他与HDL-C浓度较高的地层中,都没有观察到显著的关联。

在按十分位数进行更精细的分层中,在HDL-C的第1、第2和第3十分位数的MVMR-IVW和MVMR-Egger中都观察到与CVD和CHD的显著相关性在第二个十分位数观察到与中风的显著相关性,而在FDR调整后,MVMR Egger的相关性并不显著。

设计与统计学方法

一、研究设计

P(Population)参与者:UKB中符合条件的348,636名欧洲血统的受试者,包括52,919例CVD病例和295,717例非病例

E(exposure)暴露因素:心血管(CVD)疾病

O(outcome)结局:HDL-C 浓度与 CVD 之间的剂量反应关系。

S(Study design)研究类型:观察性队列研究

二、统计方法

1、限制性立方样条图与Cox比例风险回归模型

联合使用限制性立方样条(RCS)与Cox比例风险回归模型揭示HDL-C与CVD的表型关联的形状。

2.分数多项式法

使用分数多项式模型,构建遗传预测的HDL-C和CVD之间的关联曲线。

3.非线性MR

采用非线性MR可视化HDL-C与CVD、CHD和中风的遗传相关情况,但没有解释其效应大小。

4.逆方差加权(IVW)方法

采用逆方差加权(IVW)方法作为主要方法,对GLGC获得的脂质和UKB计算的CVD的SNPs梳理效应大小进行MVMR。

5.敏感性分析

研究进行了几项敏感性分析,以检验分层MVMR中结果的稳健性。

6.Benjamini-Hochberg法

采用Benjamini-Hochberg方法计算错误发现率(FDR),以解决由于多重检验导致的第1类错误膨胀,FDR调整后的P值<为0.05被认为具有统计学意义。

7.统计方法

所有分析均在R版本4.2.1中进行。Mr分析使用R软件包nlmr、TwoSampleMR、MVMR和MendelianRandomization。


评论

收银台

订单信息

应付金额 积分

模块介绍

请加我们助教二维码或加入Zstats使用群
Zstats交流群

Zstats交流群

助教二维码

联系助教

选择支付方式

请输入助教告诉您的积分券

如果不填写积分券,将直接使用当前余额支付

正在创建订单...

请稍候,正在为您生成支付订单

支付二维码

请使用扫描二维码完成支付

等待支付中...

二维码获取失败

支付二维码获取失败,请点击重新获取

正在处理余额支付...

请稍候,正在为您完成支付

正在处理充值并支付...

正在使用积分券兑换,然后完成支付 正在使用当前余额完成支付

支付成功!

您的订单已支付完成,页面将在 秒后自动关闭

支付失败

支付过程中出现错误,请重新选择支付方式

平台说明