公众号
“医学论文与统计分析”公众号
扫码关注公众号

统计咨询
“公共数据库与孟德尔随机化”公众号
扫码关注公众号

意见反馈
邮箱:17357190071@163.com
微信:aq566665

重复测量数据绘图工具上线,1分钟绘图!公开免费使用

Administrator
发布于 2025-09-23 / 60 阅读
0
0

重复测量资料是指对同一研究对象的同一个结局指标在不同时间点或不同条件下进行多次测量得到的数据,其目的是:

(1)关注结局指标水平是否随着时间发生变化;

(2)关注各处理组均数随时间变化的趋势是否相同;

(3)关注各处理组所有时间点的总体均数是否相同。

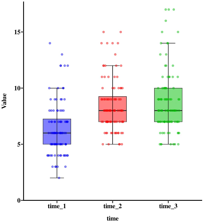
重复测量数据相对来说较为复杂,因此,通过绘制箱式图可以更好地展示数据分布。

例如描述结局指标水平随时间的变化。

但是常见绘图软件,R语言代码搞不清楚,ggplot包参数搞不明白,Prism软件绘图又不理想,这是普遍存在的问题。

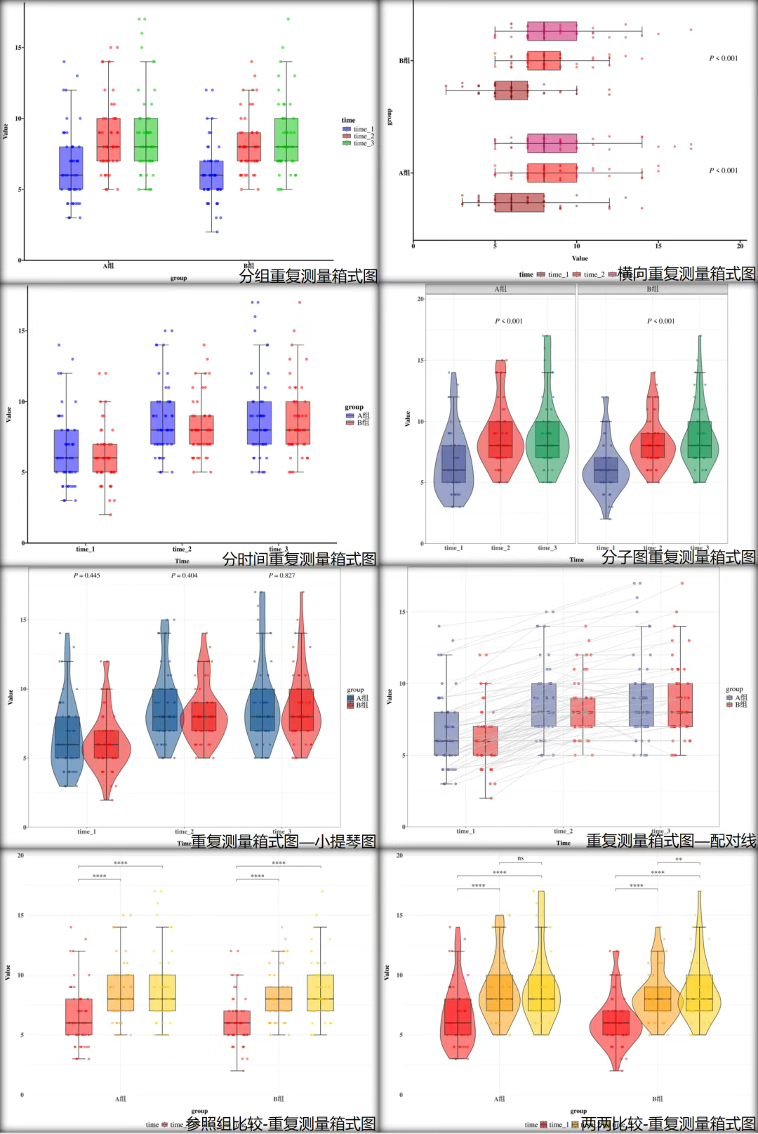
郑老师团队先前已经上线箱式图绘图模块。

最强统计图!一键绘制SCI图表,一口气调整57个参数

现在专门针对重复测量数据,开发了新的箱式图绘图功能——重复测量箱式图,正式上线【风暴统计-ZstatsFig科研绘图平台】!

自动分析,秒出发表级论文配图!

直达链接:https://www.medsta.cn/charts

👇为什么选择它?

🤖 智能分析:菜单式选择,0代码绘图,参数十分齐全。

🎨 一键出图:自动生成带散点、小提琴图、配对线、分亚组的出版级重复测量数据箱式图,直观展示个体变化趋势。

⚡️ 极速高效:三步操作,1分钟级完成从数据到成图的全过程,并且各种参数调个遍。

🧩 小教程:如何1分钟搞定一张图?只需三步,一分钟轻松上手!

1.打开打开风暴统计—重复测量箱式图,并导入重复测量宽数据。

何为宽数据?

宽型格式数据,即每个对象只有一条记录(只有一行数据),3次重复测量的结局数据分别用time1、time2、time3表示。

2. 生成图片:选择分析变量,一键自动完成

3.调整参数优化绘图

还可以添加配对线、小提琴图以及差异性检验P值等。

我们在进行医学数据统计分析,尤其是投稿SCI、写毕业论文时,在统计分析结果中需要配上对应统计图,漂亮的文章配上漂亮的统计图,除了能给自己的文章加分之外,还能更加直观的解释自己的统计结果。

这就是郑老师团队开发科研绘图平台ZstatsFig的作用,让你用最简单的操作,获得最专业的结果。

别再为画图浪费宝贵时间了!

立即体验「一键出图」的快感

🔥 点击链接,1分钟搞定你的下一张顶刊级配图!

https://www.medsta.cn/(或者百度风暴统计)


评论

收银台

订单信息

应付金额 积分

模块介绍

请加我们助教二维码或加入Zstats使用群
Zstats交流群

Zstats交流群

助教二维码

联系助教

选择支付方式

请输入助教告诉您的积分券

如果不填写积分券,将直接使用当前余额支付

正在创建订单...

请稍候,正在为您生成支付订单

支付二维码

请使用扫描二维码完成支付

等待支付中...

二维码获取失败

支付二维码获取失败,请点击重新获取

正在处理余额支付...

请稍候,正在为您完成支付

正在处理充值并支付...

正在使用积分券兑换,然后完成支付 正在使用当前余额完成支付

支付成功!

您的订单已支付完成,页面将在 秒后自动关闭

支付失败

支付过程中出现错误,请重新选择支付方式

平台说明